Кондиционирование Вентиляция Сантехника Отопление
Кондиционирование Вентиляция Сантехника Отопление
СОК СОК
Главное меню
Главная
Новости
СОК онлайн
Рубрики
О журнале
Медиаплан
Реклама
Реклама на сайте
Выставки
Семинары
Контакты
Поиск
Форум
Библиотека
Фотогалерея
Рубрики
Сантехника
Отопление
Кондиционирование
Вентиляция
Энергосбережение
Нормативная База
Объекты
Рекомендуем
c-o-k.ru
Top100+ :: Teplo.com
Кондиционеры, вентиляция, тепловые насосы.
Aqua-Term 2013
Системы воздушного отопления
Тепловые насосы, Телпый пол и Воздушные фильтры
Кондиционеры Daikin

О гидроударах в подземных трубопроводах из полиэтиленовых труб Версия для печати Отправить на e-mail
07.06.2012

В настоящее время действующие в стране нормативные документы не предусматривают обязательную установку на водопроводных и напорных водоотводящих сетях механических устройств — вантузов.

Однако,  практика  эксплуатации  показывает, что из‑за отсутствия подобных устройств на трубопроводах возможны нарушения гидравлических режимов их работы и даже разрушения через пять‑десять лет после ввода в строй, что способно привести к серьезному возрастанию стоимости эксплуатации трубопроводных сетей. С учетом этих негативных факторов на московских подземных напорных  трубопроводах  из  высокомодульных  металлических  труб  (модули упругости стали примерно 200 тыс. МПа и чугуна — около 150 тыс. МПа) уже установлены сотни вантузов как отечественных, так и зарубежных, в т.ч. производства  израильской  фирмы  ARI  диаметром от 75 до 1200 мм (рис. 1).

Вантуз производства израильской фирмы ARI

Известно, что любые изменения скорости  течения  жидкости  в  замкнутой системе  за  достаточно  малые  промежутки  времени  сопровождаются  гидравлическими  ударами  (гидроударами) — скачками давления Dpi. Для противодействия  разрушительной  силе гидроударов и используются вантузы.

Наличие  вантуза  на  трубопроводе обеспечивает сброс давления, возрастающего при гидроударе, путем выпуска накапливающегося воздуха, и гидроудар гасится. Другое дело, когда на трубопроводе вантуза нет. В этом случае воздействие гидроудара продолжается длительное время, т.к. при этом действуют отраженные волны [2].

Однако,  их  воздействие  со  временем становится все меньшим и меньшим — волны  затухают,  т.е.  изменения  давления в одинаковые промежутки времени t0 уменьшаются вплоть до нуля (рис. 2).

Возможные изменения внутреннего давления в водопроводе (трубопроводе напорной канализации) при гидравлическом ударе во времени
В общих случаях гидравлические удары подразделяются [3] на:

  • полные, когда происходит полная остановка течения воды благодаря практически мгновенному закрытию запорного устройства;
  • неполные, когда начальная скорость течения воды u0 изменяется до некоторого значения u, что имеет место, например, при частичном перекрытии запорного устройства;
  • прямые,  когда  закрытие  запорного устройства происходит достаточно быстро (при tзакр < tфаз);
  • непрямые,  когда  торможение воды  происходит  при  менее  быстром перекрытии запорного устройства (tзакр > tфаз).

Здесь tзакр — время закрытия запорного  устройства;  tфаз  —  длительность фазы, т.е. время, в течение которого возникшая у запорного устройства ударная волна  достигнет  преграды  и,  отразившись от ее стенок, снова подойдет к запорному устройству (удвоенная фаза составляет один период или цикл):
tфaз = 2L/a,
где  L  —  длина  участка,  a  —  скорость распространения ударной волны вдоль трубопровода.

При абсолютно жестких стенках труб значение a равно величине скорости звука в воде (примерно 1400 м/с).
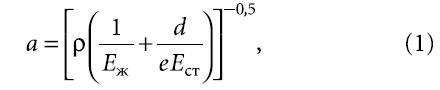
Для труб с упругими стенками:

О гидроударах в подземных трубопроводах из полиэтиленовых труб
Для труб из полимеров, ранжируемых по наружному диаметру:

О гидроударах в подземных трубопроводах из полиэтиленовых труб
где r — плотность воды;
d и e — внутренний диаметр и толщина стенки трубы;
Eж — модуль упругости жидкости (примерно 2030 МПа);
Ест — модуль упругости материала стенок трубы;
SDR — стандартное отношение наружного диаметра  к  толщине  стенки  полимерной (например из полиэтилена) трубы.

Внутреннее  давление  Δpi  будет  увеличиваться в зависимости от плотности воды (стоков) ρ, начальной и конечной скоростей их течения v0 и v, длины участка L и времени закрытия запорного устройства tзакр следующим образом. При полном прямом гидравлическом ударе Δpi = ρav0,  при  неполном  прямом  гидравлическом ударе Δpi = ρa(v0 – v).

При полном непрямом гидравлическом  ударе  Δpi = ρ2Lv0зaкр,  a  при  неполном непрямом гидравлическом ударе Δpi = ρ2L(v0 – v)/τзaкр.

Повышение  внутреннего  давления может достигать значительной величины при положительном (+Δp на рис. 2) полном прямом гидроударе.

Увеличение в любой момент закрытия запорного  устройства  на  водопроводе  (трубопроводе  напорной  канализации) из полиэтилена при гидравлическом ударе внутреннего давления:

О гидроударах в подземных трубопроводах из полиэтиленовых труб
где  v0  и  v  —  средние  скорости  движения воды (стоков) на рассматриваемом участке водопровода (трубопровода напорной канализации) из полиэтилена до и после закрытия запорного устройства.

Кинетическая  энергия  любого  по виду гидравлического удара будет всегда переходит в работу сжатия имеющейся жидкости (воды/канализационных стоков) и растяжения стенок трубы (рис. 3) на величину:
ε = Δr/r.  (4)
В стенках трубы будет возникать дополнительное напряжение растяжения:
Δσст = Δr/(rEст).  (5)

Схема деформации поперечного сечения трубы
Нельзя исключать вероятности того, что в какой‑то момент времени сумма напряжений в стенке трубы — создаваемого рабочим внутренним давлением p, напряжения σф и дополнительного напряжения Δσст — превысит расчетные значения прочности σp, установленные для соответствующего материала трубы, в т.ч. какого‑либо низкомодульного полимера, например, полиэтилена.

К  сожалению,  единого  мнения  по вопросу,  связанному  с  воздействиями на  полиэтиленовые  трубы  и  соединительные части (рис. 4) в подземных водопроводах и трубопроводах напорной канализации возникающих в них гидроударов до сих пор не сложилось.

Соединительные части из ПЭ
При  этом  возможности  [4–7]  использования  напорных  труб  из  полиэтилена ПЭ‑80 и ПЭ‑100 [8] вплоть до диаметра 1400 мм (табл. 1) для устройства  подземных  трубопроводных  сетей в России и странах СНГ с каждым годом расширяются.

Сортаментные показатели полиэтиленовых труб
Здесь имеют право на существование, по крайней  мере,  две  альтернативные  версии. По одной из них трубы и соединительные части из полиэтилена при воздействии на них гидроударов могут быть разрушены. И с целью предотвращения такого исхода, рекомендуется устанавливать вантузы на подземных напорных полиэтиленовых трубопроводах. По другой версии, наоборот, считается, что полиэтилен как низкомодульный материал (для ПЭ‑80  и  ПЭ‑100  кратковременное  значение модуля упругости E0 ≈ 1000 МПа) сам  будет  способствовать  погашению кинетической  энергии  гидроудара.  Так, в работе [9] отмечается, с одной стороны, что полиэтиленовые трубы при повышении давления приобретают существенные деформации. Это обстоятельство влияет на скорость движения жидкости и на возможность ее накопления в сети за счет эластичного увеличения внутреннего прохода труб. При гидроударе трубы из полимерных материалов будут деформироваться до тех пор, пока сопротивление материала стенки не уравновесит повышение  давления.  Ударная  волна,  вызванная гидроударом, в полиэтиленовых трубах гасится гораздо быстрее, чем в металлических. По этой причине, вроде бы, устанавливать вантузы на подземных напорных  полиэтиленовых  трубопроводах не обязательно. Но, в этой же работе [9] указывается и на то, что при наличии  в  полиэтиленовых  трубопроводах препятствий  для  радиальной  деформации,  которые  имеют  место  при  укладке в грунт или замоноличивании (рис. 5), скорость  распространения  ударной волны увеличивается. Как следствие этого,  может  быть  повышено  и  внутреннее  давление.  В  то  время  как  учет  окружающей упругой среды не оправдан для  труб,  обладающих  большой  жесткостью  (стальные,  чугунные  и  др.), он  обязателен  для  полиэтиленовых труб,  имеющих  ограничения  в  распространении  радиальной  деформации. Получается, что по этой причине установка вантузов на полиэтиленовых трубопроводах не исключается совсем.

Схемы замоноличивания в бетон полиэтиленовых
Таким образом, исходя из современных  представлений  и  уровня  разработанности на сегодня рассматриваемого вопроса, ни с той, ни с другой версиями согласиться полностью нельзя по изложенным ниже причинам.

Принято,  что  поведение  кристаллических полимеров, к которым относится  полиэтилен,  и  пластичных  металлов сходно в широких пределах, в связи с этим для изделий из них применяют схемы инженерных расчетов, используемые для металлов [10].

Однако,  здесь  весьма  важным  является следующий факт: при эксплуатации какого‑либо сооружения под действием продолжительных статических и циклических нагрузок в материалах конструкций  могут  возникать  микроповреждения,  развитие  которых  нередко  приводит к разрушению. При длительном статическом  нагружении  в  зависимости от интенсивности нагрузки и температуры увеличение деформаций связано с процессами ползучести.

Однако,  если  разрушение  металлических напорных труб может наступить единомоментно при чрезмерном увеличении  Δp  из‑за  гидроудара  воды  (стоков),  то  разрушение  полиэтиленовых труб будет происходить постепенно, т.к. в материале их стенок будут непрерывно  (при  каждом  воздействии  любого вида  гидроудара)  образовываться  дислокации повреждений (микротрещины и их прорастание). Несмотря на то, что, например, для кристаллических термопластов  (полиэтилены)  предел  выносливости составляет 0,2–0,3 предела прочности, из‑за разрыва химических связей макромолекул [11] может наступить такой  момент,  когда  водопровод  (трубопровод  напорной  канализации)  из полиэтилена, не прослужив расчетного срока, разрушится досрочно, скорее всего в сечении «A» стенки трубы (рис. 3) либо в местах «B» соединительных частей (рис. 4).

Другой факт связан с тем, что, в отличие от постоянства в течение всей эксплуатации  подземных  водопроводов и трубопроводов напорной канализации модулей  упругости  (Eм0 = Eмτ = const) металлов  (стали  и  чугуна),  модули  упругости полиэтиленов в указанных трубопроводах  будут  непрерывно  изменяться  во  времени  (Eт0 = Eтτ ≠  const). Изменения значений модуля упругости полиэтилена  будут  тесно  связаны  [12] с температурами воды и стоков (табл. 2), с одной стороны.

Коэффициент уменьшения значений модуля упругости полиэтилена ПЭ50
Интенсивность  изменения  значений  модуля  упругости  полиэтилена  Eт во  времени  будет  зависеть  [13]  от  величин  растягивающих  напряжений  σр в  стенках  труб  (рис. 6)  трубопровода.

Изменение во времени t в зависимости от растягивающих напряжений sр в стенках труб из ПЭ50 модулей упругости E.
Растягивающие  напряжения  σр  в  стенках  полиэтиленовых  труб,  из  которых будет  выполнен  напорный  трубопровод,  под  действием  внутреннего  давления  будут  изменяться  от  значения  σ0 (на начало эксплуатации) до στ (на конец эксплуатации) в соответствии с известными закономерностями. Такие закономерности для напорных труб из ПЭ‑80 и ПЭ‑100 предлагаются в виде аналитических  выражений  (табл. 3),  аппроксимирующих  кривые  регрессии  (рис. 7), построенные по результатам стендовых испытаний  при  статических  режимах по  схеме  «вода – в  воде»,  которые  приводятся  в  ГОСТ  52134–2003  на  напорные трубы из термопластов, в т.ч. и из полиэтиленов.

Аналитические выражения, аппроксимирующие графики рис. 7
Эталонные кривые длительной прочности труб из: а — ПЭ80; б — ПЭ100

Данные  по  модулям  упругости  Ет  в  стандарте  на  напорные  трубы  из  термопластов  (ГОСТ  52134–2003)  отсутствуют,  не  приводятся  они и в ГОСТ 18599–2001 с изм. 1–4, а также в каких‑либо технических условиях производителей.

Очевидно,  что  для  количественной оценки  влияния  гидравлических  ударов на долговременное поведение подземных напорных водопроводов и трубопроводов  напорной  канализации требуются  достоверные  данные  по  изменению модулей упругости Eт во времени  с  учетом  растягивающих  напряжений  σр  и  температуры  жидкости (воды и стоков) для каждого вида полиэтилена, трубы из которого предлагаются на рынке. Такие данные должны предоставляться  поставщиками  полиэтиленовых  труб.  Будут  получаться  такие данные поставщиками полиэтиленовых труб  от  заводов‑изготовителей  или  от специальных  исследовательских  лабораторий — это, в конце концов, не столь важно, главное, чтобы эти данные были достоверными.

В заключение можно сделaть следующий вывод. Достаточно активное внедрение  полиэтиленовых  трубопроводов требует  сегодня  установления  показателей  частоты  гидравлических  ударов, происходящих в тех или иных подземных водопроводах и трубопроводах напорной  канализации  из  полиэтилена, последующей  оценки  влияния  гидроударов на долговечность труб и соединительных  частей,  a  тaкже  разработки соответствующей методики расчета прогнозных сроков их службы.

1. Орлов В.А. Вантузы для систем водоснабжения и водоотведения // Технологии мира, ¹ 01/2008.
2. Интернет-ресурс http://femto.com.ua
3. Калицун  В.И.,  Дроздов  Е.В.,  Комаров  А.С.,  Чи-жик К.И. Основы гидравлики и аэродинамики. — М.: Стройиздат, 2002.
4. СП 40-102–2000. Проектирование и монтаж трубопроводов систем водоснабжения и канализации
из полимерных материалов.
5. Храменков С.В., Примин О.Г., Отставнов А.А. Использование полиэтиленовых труб для систем водоснабжения и водоотведения. — М., 2010.
6. Храменков С.В., Примин О.Г., Орлов В.А., Отстав-нов А.А. Регламент использование полиэтиленовых труб для реконструкции сетей водоснабжения и водоотведения. — М., 2007.
7. Ромейко В.С., Отставнов А.А., Устюгов В. и др. Пластмассовые трубы в строительстве. Ч. 2. Строительство,  эксплуатация  и  ремонт  трубопроводов.  — М., 1997.
8. ГОСТ 18599–2001 с изм. 1–4.
9. Сухарев М.Г. Полиэтиленовые трубы в строительстве. — Л.: Изд-во лит‑ры по строит‑ву, 1967.
10. Лахтин Ю.М. Материаловедение. Учебник для высших технических учебных заведений. — М.: Машиностроение, 1990.
11. Бартенев Г.М. Физика и механика полимеров. — М.: Высшая школа, 1983.
12. Ромейко В.С., Отставнов А.А., Устюгов В.А. и др. Пластмассовые трубы в строительстве. Ч. 1. Проектирование трубопроводов. — М., 1997.
13. Пособие по проектированию и технологических трубопроводов из пластмассовых труб (к СН 550–82).

Авторы: А.А. ОТСТАВНОВ, к.т.н., ведущий научный сотрудник ГУП «НИИ Мосстрой»; О.Г. ПРИМИН, д.т.н., заместитель директора ГУП «МосводоканалНИИпроект» по науке; К.Е. ХРЕНОВ, первый заместитель генерального директора, главный инженер МГУП «Мосводоканал»; В.А. ОРЛОВ, д.т.н., декан МГСУ; В.А. ХАРЬКИН, к.т.н., генеральный директор ООО «Прогресс»

 
< Пред.   След. >

Будем благодарны, если воспользуетесь одной из этих кнопок: